欢迎来到全渠道加盟网
今日创业留言302014条
全国服务热线:400-806-2866
根据“2019年行业基本情况及连锁百强调查”结果,“2019年中国连锁百强”于6月2日发布。
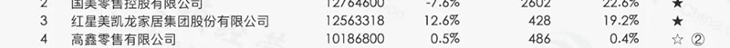
2019年连锁百强销售规模近2.6万亿元,同比增长5.2%,占社会消费品零售总额的6.3%。连锁百强门店总数14.4万个,同比增长5.9%。百强连锁企业提供就业岗位160余万个。苏宁易购以3787.4亿的销售规模居百强榜首。
一、主要发现
(一)百强增长整体放缓,部分企业实现双位数增长。百强销售和门店数量绝对值依然保持增长,但增长幅度整体放缓。2019年,百强企业销售实现正增长的有73家,比上一年减少5家,增长率平均为14.4%,同比下降0.1个百分点,中位数为6.4%,同比下降0.3个百分点;销售出现负增长的有27家,增长率平均为-9.6%,降幅同比增加1.2个百分点,中位数为-7.6%,降幅同比高出2.4个百分点。2019年门店数量下降的企业数比上年增加了8家,共计29家。
18家企业实现销售和门店两位数增长。其中,红星美凯龙、永辉、居然之家、盒马鲜生、美宜佳、孩子王、百果园、大参林、柒一拾壹、罗森10家企业连续两年保持双位数增长。
(二)便利店增幅明显,社区超市成为亮点。百强企业中,便利店依然发展强劲,社区超市后起直追。2019年,便利店销售增幅为16.5%;专业店、超市、百货店分别为10.4%、4.0%、0.7%;便利店门店增幅为7.8%,超市、百货、专业店分别为7.7%、2.4%、1.5%。除超市业态外,各业态销售和门店增幅均出现不同程度下降。超市业态中增长最快的是社区超市,销售和门店增幅分别达到16.5%和16.9%。
(三)成本上涨趋于平稳,成本占比与上年持平。调查数据显示,连锁百强企业的租金成本占总体销售的比例为3.2%,与上一年持平。其中,以超市为主营业态的连锁百强企业租金占比为2.8%,同比下降0.1个百分点;百货、便利店、专业店租金占比分别为1.9%、6.5%、7.1%,与上一年基本持平。
单位人工成本虽有上涨,但整体人工费用占销售额的比重稳定在4.6%。其中,以超市为主营业态的连锁百强企业人工成本占比为5.4%,百货、便利店、专业店人工成本占比分别为3.5%、6.5%、5.5%,与上一年基本持平。
(四)升级改造加优化调整,百强企业核心经营效率指标有所提升。2019年,百强企业持续对百货和大卖场业态进行购物中心化改造。数据显示,经营百货店的百强中,有近一半企业对门店进行了改造,改造的门店约占企业总店数的30%;经营大型超市的百强中,有近四成的企业对大卖场进行购物中心化改造,改造门店占总店数的30%。
通过业态调整及管理优化,百强企业运营效率有所提高。
人效提升明显。其中,超市业态平均人效为94.3万元,同比提高1.3%;便利店、百货和专业店人效依次为58.8万元、245.4万元和362.4万元,同比提高18.5%、10.0%和6.1%。
平效保持不变。其中,百货平效为1.8万元,60%的百货企业平效出现下降;超市平效为1.4万元,三分之一的超市企业平效下降;便利店平效为2.6万元,与上年基本持平;专业店平效为2.8万元,比上年下降9.0%。
毛利小幅增长。2019年,百强企业平均毛利率为19.5%,比上一年略有提高。其中,超市毛利率为18.9%,同比提升0.5个百分点;百货店毛利率为17.0%,同比提升0.5个百分点;便利店毛利率为26.3%,同比提高1.2个百分点;专业店毛利率为23.7%,同比下降0.3个百分点。
二、行业新活力
新技术、新模式、新方法给行业发展注入新活力。
(一)线上销售增长显著。2019年,连锁百强企业线上销售增长28.7%,高于全国实物商品网上零售额增幅9.2个百分点。线上销售规模达5000亿元。
专业店平均线上销售占比最高,便利店最低。百强企业平均线上销售占比为4.3%。其中,超市企业线上销售占比为2.1%;百货线上销售占比为1.2%;便利店线上销售占比为0.6%;专业店线上销售占比为21.9%。
(二)到家业务成为标配。百强企业的超市业态普遍开展到家业务。其中约三分之一的企业的到家业务已在全部门店铺开,约一半企业则在部分门店运营,其余企业还在尝试阶段。到家业务的平均客单价约为84元,单店日均订单56单。到家业务的逐步拓展,也对单店效率产生正向影响。全面铺开的企业相较部分铺开和尝试阶段的企业,到家订单的客单价更高,达92元,人均单店订单数达95单。
前置仓是支持到家业务的基础设施。2019年,百强企业的超市中约有三分之一的企业设置了前置仓,前置仓大部分依托现有门店运营。
(三)拼团直播丰富渠道。调查显示,超市类百强企业有近六成开展了社区拼团业务,其中过半数处于尝试阶段,社区拼团业务占超市销售比大约为2‰。短视频、网上直播等作为新的渠道,也有约三成百强企业导入。
受2020年初发生的新冠疫情影响,企业对2020年的发展持谨慎态度。据对参与预测的百强企业的统计,78%的企业2020年会继续拓展新店。只有36%的企业认为门店同比销售有望实现增长,42%的企业认为门店销售会下降。
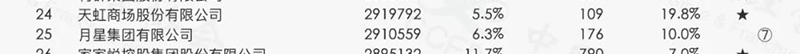
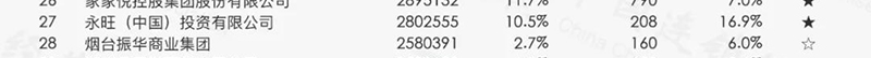
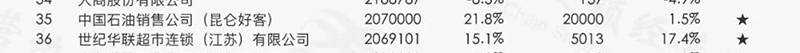
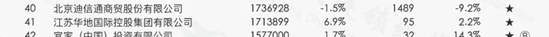
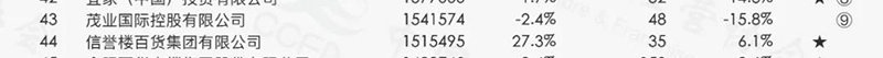
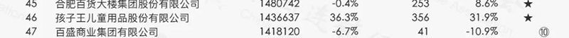
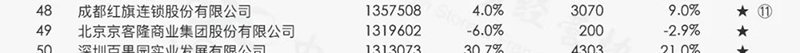
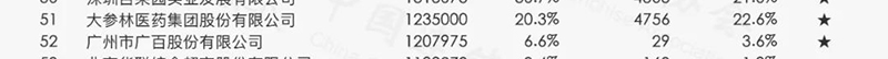
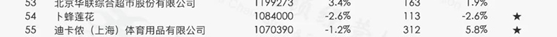
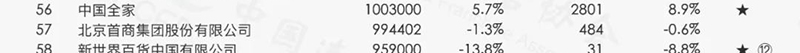
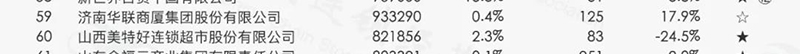
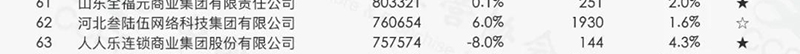
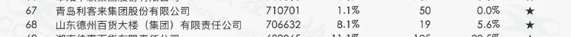
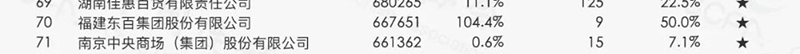
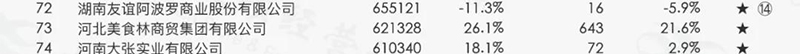
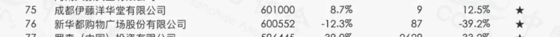
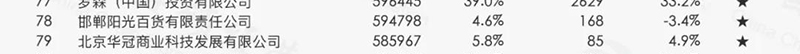
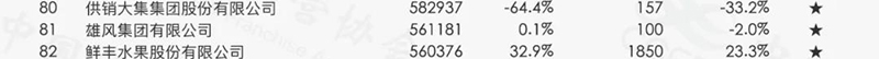
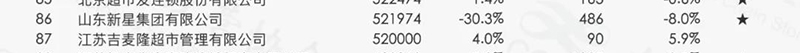
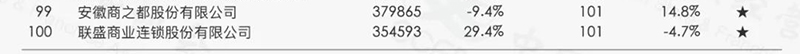
附表:《2019年中国连锁百强》












































本文来源:中国连锁经营协会
我要评论
共0条评论
热门评论
目前已有31052 人找到了合伙人 赶快加入我们吧!

(提交后,企业招商经理马上给您回拨)
您所使用的是全渠道加盟网免费呼叫系统,回拨来电号码为400-806-2866通话完全免费,请放心接听!
猜你喜欢
投资金额:1-5万
查看详情投资金额:1-5万
查看详情
投资金额:10-20万
查看详情投资金额:5-10万
查看详情投资金额:10-20万
查看详情投资金额:5-10万
查看详情投资金额:50-100万
查看详情投资金额:5-10万
查看详情投资金额:5-10万
查看详情投资金额:20-30万
查看详情全渠道加盟网为第三方加盟信息平台及互联网信息服务提供者。由于本网站部分信息来源于网络公共空间或第三方用户编辑发布,未经过认证。可能存在发布者发布的信息并未获得品牌所有人的有效授权。本网站会加强审核,但无法完全排除差错或疏漏。因此本网站不完全保证信息的正确性、合法性。不会对信息内容承担任何法律责任。请您在项目考察合作前务必核实品牌信息。如您发现本网站页面有任何违法或侵权内容,欢迎向本网站举报并提供有效信息,我们将认真核查及时删除处理。感谢您的参与及支持!投诉删除电话:400-806-2866
查找项目
留言咨询
等待回访
上门考察
签约合作